
Đề




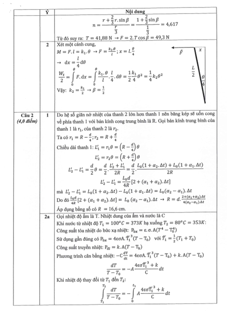
Bài giải





Tác giả: Trường THPT Lộc Thanh Quản trị website nhà trường
Nguồn tin: Nguyện Tung Chỉnh
Ý kiến bạn đọc
Những tin mới hơn
Những tin cũ hơn
Vinh danh học sinh đạt học sinh giỏi cấp Tỉnh , Quốc gia năm 2025-2026
LỄ TỔNG KẾT NĂM HỌC 2025 – 2026
TỔ SỬ - ĐỊA – GDKT&PL – GDTC - QPAN TỔ CHỨC CUỘC THI “TÌM HIỂU VỀ CUỘC ĐỜI VÀ SỰ NGHIỆP CÁCH MẠNG CỦA CHỦ TỊCH HỒ CHÍ MINH”
KỶ NIỆM 136 NĂM NGÀY SINH CHỦ TỊCH HỒ CHÍ MINH (19/5/1890 – 19/5/2026)
THÔNG TIN TUYỂN SINH VÀO LỚP 10 THPT NĂM HỌC 2026 - 2027
Khoa học, công nghệ, đổi mới sáng tạo và chuyển đổi số - Động lực chính của mô hình tăng trưởng mới
Điện Biên Phủ – Bản hùng ca lịch sử trong dòng chảy dân tộc Việt Nam
Tỉnh táo để giữ vững bản chất nền giáo dục cách mạng, phòng, chống nguy cơ chệch hướng, “đổi màu”
Bình dân học vụ số - động lực, sức mạnh để Việt Nam vươn mình - Bài 2: Những cú hích mang tính đột phá